行業資訊
王選倉┃公路瀝青路面設計
1、瀝青路面早期損壞問題
結構性破壞:
路面結構承載力不足(彎沉):不要太柔
疲勞開裂(拉應力):不要太剛
使用性能破壞:
裂 縫——橫縫、縱縫、網裂
變 形 類——車轍、推移、擁包
水 損 害——泛油、推移、坑洞
安全性能——抗滑(構造深度、摩擦系數)
車輛行駛性能——平整度、噪聲
瀝青路面的主要損壞是使用功能的破壞,這些病害與厚度的大小沒有直接關系,換句話說與設計的理論體系及厚度設計指標無關。解決這些損壞問題應依靠組合設計與材料設計。
而結構設計主要是解決結構的承載力、荷載疲勞問題。因此本次規范修訂的重點并不是理論體系與厚度計算方法問題,而是對不同結構組合的現行指標進行完善與補充。
承載力—彎沉—最小剛度
荷載疲勞—拉應力—合理剛度
2、重載車輛增多,超載問題日益嚴重

路面結構組合設計應適應重載交通的荷載要求。
軸載換算系數的適用范圍。
瀝青路面結構設計與材料設計應以交通等級為依據。
3、交通部《關于防治高速公路瀝青路面早期損壞的指導意見》

對現狀實際軸載譜以及變化規律進行深入的調查分析,結合未來區域經濟發展、路網情況和車輛載重等情況,科學預測,計算預期的車輛累計標準軸載次數,依此進行路面結構設計和厚度確定。
(二)完善結構和厚度設計
路面結構設計及各層厚度要充分考慮交通量軸次、材料、施工條件、氣候等實際情況。要采用長期使用性能良好的路面結構類型,并適當加厚路面。重車方向、陡坡路段應進行特殊結構設計。

(三)加強材料設計

(四)重視防排水系統的綜合設計
1. 路面排水要盡量采用不設攔水帶或路緣石的散排方式;對于設置攔水帶或路緣石的路段,尤其縱坡平緩、降雨量大的路段,應適當加密開口及邊坡排水設施。挖方和低填等路基水文狀況不良路段,應設置橫向盲溝和排水墊層。
2. 對于中央分隔帶防排水設施、通訊管道設施與綠化美化工程要做到協調統一。中央分隔帶需要植樹綠化時要認真做好防水層,對防水難以做好的路段,可直接采用表面封閉的中央分隔帶形式。對于超高路段宜盡量采用內外半幅單獨排水方案。
3.土路肩宜盡量選用碎石或砂礫等透水性材料填筑,以利路面橫向排水。年降雨量較大地區的高速公路,可在結構內部及邊緣土路肩內設置排水設施(縱向滲溝和橫向排水管等)。對于植草的土路肩,其排水設計還要考慮土路肩與硬路肩標高差、橫坡及植草的疏稀程度,以保證排水通暢。
規范修訂的主要內容
1.增加了對材料的技術要求;
2.在瀝青混合料設計和結構設計中考慮了水損害問題;
3.除完善半剛性基層瀝青路面的設計方法外,還對混合式瀝青路面、柔性路面的設計方法做了相應的補充和完善;
4.明確不同的路面結構應采用不同的設計指標,路面厚度計算仍以彎沉值、彎拉應力為設計指標,調整有關設計參數;
5.補充了大修或改建的設計內容;
6.增加了水泥砼板加鋪瀝青面層設計的內容。
一、一般規定
1.使用年限
高速、一級 15年 交通量大,有特殊要求20年
二級 12年 有特殊使用要求15年
三級 8年
四級 6年 瀝青表處8年
2.標準軸載
對重載車為主的公路,可根據實際調查情況,經論證可提高輪胎接地壓強和接地面積。
3、交通量分級

對具有運煤、運輸建筑材料等有特殊用途的公路,宜做 專題研究、設計。
4.瀝青的選用

熱區選用稠度高、60℃粘度大的瀝青,寒區選用稠度低、低溫延度大的瀝青。
表面層選用高溫、低溫性能均好,并耐老化的瀝青;中面層選用熱穩性好的瀝青,底面層選用抗疲勞,熱穩性好的瀝青或選用稠度高一級的瀝青。
當交通量為D級及D級以上時,可適當提高瀝青的技術要求。

5.符合以下條件時宜選用改性瀝青
(1)當用普通瀝青拌制的瀝青混合料的技術指標達不到規定要求時;
(2)交通等級為D級及D級以上的公路,瀝青表面層可選用改性瀝青;E級交通的表面層、中面層可視實際情況選用改性瀝青;
(3)高速公路、一級公路的路線線形處于長縱坡、陡坡及半徑較小匝道,或其他特殊路段;
(4)鋪筑特殊結構的表面層,如開級配抗滑層,瀝青瑪蹄脂碎石、超薄罩面層,排水路面,彩色路面等;
(5)溫差變化較大,或高溫或低溫持續時間較長的嚴酷氣候區域的公路;
(6)具有重要政治經濟意義、有較高使用要求的公路,或重點旅游公路等。
二、結構設計
1.瀝青面層與半剛性基層之間可設置密級配、半開級配或開級配的瀝青碎石或級配碎石層,以減少反射裂縫,利于路面結構內部排水。此時的瀝青碎石層稱為基層,而級配碎石層稱為碎石過渡層。
2.路面結構類型
(1)半剛性基層瀝青路面
(2)混合式瀝青路面
(3)貧砼瀝青路面
(4)柔性路面
(5)全厚式瀝青路面



“九五”之前,我國的高等級路面結構中,多采用半剛性基層瀝青路面結構形式,瀝青層厚度一般在12~18cm之間,但是廣深高速的瀝青層厚度達到32cm,而廣花高速的瀝青層厚度僅為7cm。從使用情況來看,抗裂效果較差。
“九五”之后,我國高等級路面結構中的瀝青層厚度一般都在20cm以上。
結構設計指標的確定:
A、柔性基層或組合式基層路面

B、半剛性基層或剛性基層路面

路面結構類型的選擇:

注:全厚式瀝青路面可用于標高受到限制的特殊路段。
3、路面面層類型
(1)瀝青路面——包括熱拌瀝青混凝土混合料、熱拌瀝青碎石混合料、冷拌瀝青碎石混合料、瀝青貫入式(含上拌下貫瀝青碎石)、瀝青表處等五種。
(2)砂石路面——包括用粘土作結合料或摻入少量石灰混合穩定的碎、礫石,如泥結碎、礫石、級配碎石、級配砂礫、碎礫石土等。主要適用于100輛以下的縣、鄉、村公路。

4.基層、底基層設計應根據交通量及其組成、氣候條件、筑路材料分布和質量情況,以及路基水文狀況等因素選擇適宜的結構類型。
(1)各級公路均宜選用半剛性材料做基層、底基層。為減少水損害和低溫裂縫,對水泥穩定粒料類,石灰、粉煤灰穩定粒料類的上基層,其混合料級配組成設計宜用骨架密實型結構,以提高半剛性基層的抗沖刷、抗開裂、抗凍的性能,并可減少表面浮漿,利于層間緊密結合。
(2)在瀝青面層與半剛性基層之間增設瀝青碎石基層,將半剛性基層下放,以減少其層底拉應力,可降低無機結合料用量,減少低溫裂縫和反射裂縫,同時使路面結構層受力狀態更加合理。
(3)對運輸煤、炭、礦石、建筑材料等專用公路,疏港公路,D、E級交通的公路,可選用貧混凝土基層。
(4)底基層應就近取材,充分利用沿線地方材料,如未篩分碎石、石渣、碎石土、天然砂礫等。采用水泥,石灰,或石灰、粉煤灰穩定粒料或細粒土,做半剛性底基層。
5.各類路面結構層的厚度
瀝青混合料結構層的最小施工與適宜厚度


6.半剛性基層瀝青路面減裂措施
(1)半剛性基層材料級配應以粗集料為主,使混合料形成骨架密實性結構,并嚴格控制水泥劑量,以減少收縮裂縫。
(2)瀝青層宜選用低溫性能好,彈性恢復能力大的聚合物改性瀝青作面層結合料或在瀝青中摻入有機化學合成纖維。
(3)在半剛性基層、剛性基層頂面宜設置聚合物改性瀝青應力吸收層或應力吸收膜,或鋪設聚酯無紡長絲土工布等。
(4)在穩定粒料類底基層上,設一定厚度的瀝青碎石基層或80~120m級配碎石過渡層。
(5)各地區應結合當地材料和氣候條件,選擇減裂措施,并通過鋪筑試驗路段。
三、瀝青面層
1.熱拌瀝青混合料路面使用性能要求






注:對于有條件的地方,為了減少凍融劈裂試驗因空隙變異而造成的試驗結果的偏差。可采用控制試件成型空隙率的AASHTOT283方法,指標同凍融劈裂試驗要求。
2.瀝青面層的適宜厚度
熱拌瀝青混合料面層應根據公路等級、交通組成和交通量、氣候條件等、路面結構類型等實際情況,選用一層、兩層或三層。
(1)當采用半剛性基層瀝青路面時,高速公路、一級公路的瀝青層厚度宜為120~160mm,二級公路的瀝青層厚度宜為70~120mm,三級公路的瀝青層厚度宜為20~50mm,四級公路的瀝青層厚度宜為10~30mm。
(2)當采用混合式瀝青路面時,面層可選用兩層式,其下設瀝青混合料基層。面層厚度宜為100~120mm,基層厚度宜為80~140mm。
(3)當采用柔性路面結構時,面層可選用兩層或三層,其下設瀝青混合料基層或級配碎石基層、底基層。瀝青層厚度根據公路等級、交通量等具體情況而定。
3.各類瀝青混合料的適用性

四、基層、底基層及墊層
1、類型
(1)按力學行為
①半剛性類
②柔性類
③剛性類
(2)按材料組成
①結合料穩定類——有機結合料、無機結合料
②無粘結粒料類
(3)按組成結構狀態
①骨架密實型
·粗集料>75% ·嵌擠強度高、抗裂性、抗沖刷性好
·適于高速公路基層
②懸浮密實型
·粗集料~50% ·抗彎拉性能好
·適于多等級公路的基層和底基層
③骨架空隙型
·適用于有較高路面內部排水要求的基層
④均勻密實型
·穩定土、砂或石屑
高等級公路宜選用穩定集料類做基層,上基層宜選用骨架密實型結構。
2.適用性
(1)剛性基層
·包括貧混凝土、水泥混凝土以及連續配筋水泥混凝土等;
·一般適用于D、E級交通或超重車,特重車較多,或有特殊要求的路面基層。
(2)半剛性基層
·包括水泥穩定類、石灰粉煤灰穩定類、石灰穩定類、水泥粉煤灰穩定類;
·水泥穩定類和二灰穩定類適用于各級公路的基層和底基層,但穩定細粒土不能用作高級路面的基層;
·石灰穩定類適用于各級公路的底基層也可用作二級和二級以上公路的基層。粒料含量少于50%的石灰穩定細粒土及碎礫石灰土不能用于高級路面的基層。
(3)柔性基層
·包括有機結合料穩定類和無粘結粒料類;
·瀝青穩定類適用于高等級公路的基層和調平層;
·級配碎石適用于各級公路的基層和底基層,也可用于瀝青面層與半剛性基層之間的過渡層。
3、技術要求
(1)貧混凝土
·水泥劑量 6~10%

·摻加部分粉煤灰(水泥劑量的20~40%)可降低收縮裂縫,提高后期強度;
·貧砼基層的最小厚度為18cm;
·貧砼上瀝青層最小厚度為15cm,采取防裂措施后為8cm;
·在瀝青面層上,對應的位置切割橫縫并填入封縫料;
·在貧砼基層上,宜設置應力吸收層(膜)。
(2)瀝青穩定基層
·高等級公路可用大粒徑瀝青碎石做基層,其最小厚度宜為8cm;
·瀝青貫入碎石用作基層或調平層。
(3)級配碎石基層
·有骨架密實型和連續型兩類,重交通宜選用骨架密實型;
·適用于各級公路基層與底基層;
·用作基層時,壓實度不小于98%,CBR不小于180%;用作底基層時,不小于96%和100%;
五、新建路面結構厚度計算
1.設計理論
層間接觸狀態:
(1)瀝青層之間——連續;
(2)級配碎石與半剛性基層之間和與瀝青面層之間——滑動;
(3)半剛性基層與瀝青層之間——連續。
設計理論與指標體系:
8.0.1 路面結構設計采用雙圓均布垂直荷載作用下的彈性層狀連續體系理論進行計算,路面荷載及計算點如圖8.0.1所示。

8.0.2 路面結構層厚度的確定應滿足結構整體剛度(即承載力)與瀝青層或半剛性基層、底基層抗疲勞開裂的要求:


瀝青路面結構厚度設計指標:
[規范條文]
8.0.3 高速公路、一級公路、 二級公路的路面結構,以路表面回彈彎沉值、瀝青混凝土層的層底拉應力及半剛性材料層的層底拉應力為設計指標。三級公路、四級公路的路面結構以路表面設計彎沉值為設計指標。有條件時,對重載交通路面宜檢驗瀝青混合料的抗剪切強度。
2.設計標準
(1)柔性基層及混合式基層:
彎沉計算、彎拉驗算
混合式基層路面設計彎沉值:

(2)半剛性基層及貧砼基層: 彎拉計算、反算彎沉控制
貧混凝土基層的抗拉強度結構系數:

8.0.5 設計彎沉值應根據公路等級、設計年限內累計標準當量軸次、面層和基層類型按式(8.0.5-1)計算確定。

基層類型系數:
[說明]
原規范的說明己論述了半剛性基層和柔性結構層的路面結構系數Ab分別為1.0和1.6的來源。
對采用柔性結構層和半剛性基層組合而成混合式基層的路面,是從柔性向半剛性過渡的結構,設計彎沉值應界于二者之間,路面結構系數Ab可采用內插的方法處理。
對于交通量較大的柔性路面結構,目前尚處于研究階段,缺乏工程實踐經驗,因此采用柔性路面結構時,應結合國外經驗和國內實際,慎重為之。
]
[規范條文]
1 對瀝青混凝土的極限劈裂強度,系指15℃時的極限劈裂強度;對水泥穩定類材料系指齡期為90d的極限劈裂強度;對二灰穩定類、石灰穩定類材料系指齡期為180d的極限劈裂強度;對水泥粉煤灰穩定類材料系指齡期為120d的極限劈裂強度。
2 對瀝青混凝土層的抗拉強度結構系數,按下式計算:
8.0.6 瀝青混凝土層、半剛性材料基層、底基層以拉應力為設計或驗算指標時,材料的容許拉應力應按式(8.0.6-1)計算:

對無機結合料穩定集料類的抗拉強度結構系數,按下式計算:

對無機結合料穩定細粒土類的抗拉強度結構系數,按下式計算:

3、設計參數
目前設計參數選取需注意的問題
-設計等級
-試驗方法
-抗壓回彈試驗的模量取值
-彎拉試驗的模量與強度取值
[規范條文]
8.0.7 路面設計中各結構層的材料設計參數應根據公路等級和設計階段的要求確定。
1 高速公路、一級公路施工圖設計時應選取工程用路面材料實測設計參數;各級公路采用新材料時,也必須實測設計參數。
2 高速公路、一級公路初步設計或二級及二級以下公路設計時可借鑒本地區已有的試驗資料或工程經驗確定。
3 可行性研究階段可參考附錄E確定設計參數。
8.0.8 半剛性材料的設計參數應按《公路工程無機結合料穩定材料試驗規程》(JTJ057)的規定測定。瀝青混合料的設計參數應按《公路工程瀝青及瀝青混合料試驗規程》(JTJ052)的規定測定。
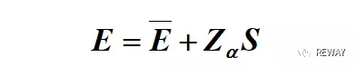
8.0.9 以路表彎沉值為設計或驗算指標時,設計參數采用抗壓回彈模量,對于瀝青混凝土試驗溫度為20℃;計算路表彎沉值時,抗壓回彈模量設計值E應按式(8.0.9)計算。

[規范條文]
8.0.10 以瀝青層或半剛性材料結構層層底拉應力為設計或驗算指標時,應在15℃條件下測試瀝青混合料的抗壓回彈模量;半剛性材料應在規定齡期(水泥穩定類材料齡期為90d,二灰穩定類、石灰穩定類材料為180d,水泥粉煤灰穩定類為120d)測定抗壓回彈模量。
計算層底應力時應考慮模量的最不利組合。在計算層底拉應力時,計算層以下各層的模量應采用式(8.0.9)計算其模量設計值;計算層及以上各層模量應采用式(8.0.10)計算其模量設計值E:

[規范條文]
8.0.11 各地區應建立劈裂強度、回彈模量與齡期的相關關系,以及快速養生方法等預估規定齡期的材料強度、模量的換算關系,經充分論證后作為設計參數的取值依據。
[規范條文]
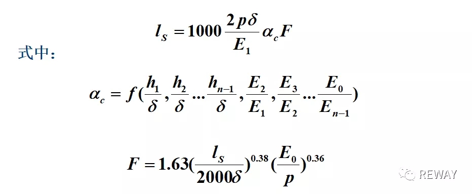
8.0.12 輪隙中心路表回彈彎沉的計算
路表計算彎沉值應按式(8.0.12-1)計算:

[規范條文]
8.0.13 層底拉應力計算
層底拉應力以單圓中心 (B點)及雙圓輪隙中心 (C點)為計算點,并取較大值作為層底拉應力。按式(8.0.13)計算層底最大拉應力:


[規范條文]
8.0.14 路面各結構層的厚度可按計算法或驗算法確定。
1、計算法:根據路用性能要求或工程經驗確定路面結構組合類型,先擬定某一層作為設計層,然后根據混合料類型與施工工藝要求確定其它各層的厚度,按8.0.4規定的流程計算設計層厚度。設計層厚度應不小于最小施工厚度。
2、驗算法:根據本地區典型結構確定路面結構組合類型,然后根據混合料類型與施工工藝擬定各結構層的厚度,按8.0.4規定的流程進行結構驗算,驗算通過后即可作為備選結構。
[規范條文]
8.0.15 路面交工時應在不利季節以BZZ-100標準軸載作用下,實測輪隙中心處路表彎沉值,其彎沉代表值應符合式(8.0.15-1)的要求。即:

1、檢測代表彎沉值應用標準軸載BZZ-100的汽車實測路表彎沉值,若為非標準軸載應進行換算。對半剛性基層結構宜用5.4m的彎沉儀;對柔性結構可用3.6m的彎沉儀測定。
檢測時,當瀝青厚度小于或等于50mm時,可不進行溫度修正;其他情況下均應進行溫度修正。若在非不利季節測定,應考慮季節修正。
2、測定彎沉時應以1~3公里為一評定路段。檢測頻率視公路等級每車道每10~50m測一點,高速公路、一級公路的每公里檢查不少于80個點,二級公路及其以下每公里檢查不少于40個點。
3、路段內實測路表彎沉代表值(0.01mm)按式(8.0.15-2)計算:

[說明]
-當彎沉在非不利季節測定時,應根據當地經驗考慮季節影響系數的修正K1。考慮與相關規范的關系,設計規范將竣工彎沉值改為實測路表面代表彎沉值,竣工彎沉值由相關規范確定。另外,實測路表面代表彎沉值可根據三倍均方差原則處理個別過大或過小測點,然后再計算。
-路面彎沉值是以20℃為測定瀝青彎沉值的標準狀態,當瀝青面層厚度小于或等于50mm時不需溫度修正;當路面溫度在20±2℃,也不進行溫度修正;其它情況下測定彎沉值均應進行溫度修正。
六、舊水泥混凝土板上加鋪瀝青路面
1、重點補充調查內容
(1)混凝土板的破損狀況
·斷板率 ·錯臺 ·板底脫空
(2)混凝土板的承載能力
·面板承載能力 ·接縫傳荷能力
2、評價指標
(1)斷板率
(2)錯臺——用錯臺儀量側按縫板兩邊的高程差。
3.破損狀況分級標準

4.傳荷能力
-用FWD或貝克曼彎沉儀測定
Du、Dl——未受荷板與受荷板接縫邊緣處的彎沉值。
-分級標準

5.脫空狀況
-用落錘式彎沉儀測定的彎沉曲線判定;
-脫空的位置和范圍可借助有限元進行分析(與無脫空狀態對照)
6.舊砼板的模量
(1)彎拉模量

(2)頂面的當量回彈模量
由FWD測得的彎沉曲線計算

7.瀝青加鋪層結構類型及厚度設計
(1)瀝青面層可由單層、雙層或三層瀝青層組成。
(2)加鋪層厚度一般不應低于7cm。

(3)為延緩舊路面板接縫(裂縫)的反射,應在調平層與瀝青面層之間鋪設聚酯長絲無紡土工布。使用土工合成材料的適宜范圍為:鋪設前接縫處平均彎沉小于或等于0.42mm。選用土工合成材料時,其上最小結構層厚度50mm。
(4)加鋪瀝青面層應進行剪切應力驗算,以避免面層出現車轍、波浪、推擠、滑移和剪裂等破壞。
①驗算舊砼板與瀝青層界面之間的抗剪穩定性。

②驗算瀝青加鋪層層間的抗剪穩定性。

七、水泥砼橋面瀝青鋪裝層設計
1.瀝青鋪裝層宜由粘層或防水粘層,保護層及瀝青面層組成,其總厚度宜為6~10cm,可采用單層或雙層鋪裝。
2.高等級公路宜采用雙層式,上面層厚4cm,其混合料類型與相鄰橋頭引道的瀝青表面層相同,以便一起施工,減少接縫,下面層兼作整平層,上下面層之間應灑粘層瀝青。
3.二級及二級以下公路的瀝青橋面鋪裝可做成單層或雙層式。單層厚不宜小于5cm,雙層式表面層厚度不宜小于3cm。
4.為提高使用年限,可在粘結層上設置防水層,其厚度宜為1.0~1.5mm。
5.保護層宜采用AC~10或AC~5型瀝青混凝土或單層式瀝青表處,其厚度宜為1cm。
長大縱坡瀝青路面設計問題:
對于公路來講,不會象城市道路那樣出現過多制動與起車,因而水平荷載要小得多,考慮車輛行車荷載的滾動摩阻力。但對于山區高速公路或者縱坡較大、坡度超長路段應考慮車輛荷載的水平分量所產生的路表剪應力。目前瀝青路面抗剪強度設計指標的研究尚不成熟,未列入本次規范修訂的內容。
瀝青混合料的剪切強度:

長、大縱坡的剪切問題:

車輛對瀝青路面的荷載作用:

結構剪應變橫斷面圖:

車輛行駛速度與坡度和坡長關系:

不同坡度時的荷載作用次數:

車速降低還會降低瀝青混合料的勁度模量。在美國瀝青路面設計指南中指出,速度為50km/h時膠結料的視勁度比速度為100km/h時的膠結料視勁度低。
Superpave設計方法中也特別提出,在長大縱坡路段等通行慢速車輛的路段,瀝青混合料的PG等級需要提高1級或者2級 。
長壽命路面的設計理念
(1)傳統路面存在的問題
- 采用半剛性基層結構(結構單一) ;
- 面層厚度比國外的薄(總厚度相當);
- 路面的破壞形式與設計指標不一致;
- 易出現結構性破壞,修復困難。
(2)長壽命路面的特點
- 面層厚度大;
- 服務周期長;
- 維修方便且費用低。
從長壽命路面概念可以看出,其結構設計必須保證路面結構在長達40年以上壽命期內不發生結構性破壞,損壞僅發生在表面層。這就對路面結構設計提出了很高的要求。

長壽命路面設計標準:
①表面功能層壽命應達到8年以上;
②主要承重層壽命應達到40年以上;
③各層強度控制指標選用相應規范進行驗算。



轉載REWAY微信,轉載請注明來源。
更多相關信息 還可關注中鐵城際公眾號矩陣 掃一掃下方二維碼即可關注

文章推薦
- “全域土地綜合整治”的5個建設內容和6個整治模式
- 上海:《關于深入開展全市域土地綜合整治 助推郊野空間提質增效的實施意見》解讀
- 陽泉市規劃和自然資源局召開全域土地綜合整治工作專題會
- 工業園區“定制化”供水:中鐵城際智慧水務系統如何匹配高純度用水需求?
- 農村供水“最后一公里”破局:中鐵城際供水智慧系統如何解決分散站點運維難題?
- AI+物聯網:中鐵城際智慧供水系統如何從“被動搶修”轉向“主動防御”?
- 市政道路設計流程與技巧:新手快速上手的6個核心步驟
- 市政道路設計關鍵要點:從線形規劃到管線綜合的避坑指南
- 2025市政道路設計最新規范與全流程解析
- 自然資源部:推進全域土地綜合整治 已經累計整治超1000萬畝




